日記なのかブログなのかいまいちハッキリしませんが、ドラッグストア勤務のおっさんがぐだります。
群馬の沼田市(?)ってところを走ってるんだけど、ここやたらとんかつ屋が多いのね。
やわらかとんかつ!
元祖やわらかとんかつ!
なんて看板を見かけました。
で、そのなかでも一番分かり易く価値が伝わったのは、
「箸で切れるほどやわらかい」
と謳っている看板でした。
箸で衣をサクッと切っている画像が脳に浮かんだ瞬間、食べるならここにしようかなと思いました。
看板を読んでその映像が脳裏に浮かんだとき時、私の脳ではドーパミンが出たかミラーニューロンが活性化したのでしょう。つまり
「幸せにしてくれたのだからこの店にしようかな状態」
になったわけです。そこまで言うなら試してやろうかな状態とも言いますか。
まぁ、そこのお店が本当に美味しいかどうかはわかりませんが、
その看板は
「ここにしようと選ばれる」という
新規のお客さんを獲得することに成功したわけです。
「箸でも切れる」とたった一言付け足すだけで。
相手に自分の意志(価値)を伝えようとする努力は、時に恥ずかしかったり面倒くさい事もあったりしますが、
やるよりやった方がお店と人生はきっと楽しくなります。
商品を並べただけの店なんて見てても楽しく無いもの。
やわらかとんかつ!
元祖やわらかとんかつ!
なんて看板を見かけました。
で、そのなかでも一番分かり易く価値が伝わったのは、
「箸で切れるほどやわらかい」
と謳っている看板でした。
箸で衣をサクッと切っている画像が脳に浮かんだ瞬間、食べるならここにしようかなと思いました。
看板を読んでその映像が脳裏に浮かんだとき時、私の脳ではドーパミンが出たかミラーニューロンが活性化したのでしょう。つまり
「幸せにしてくれたのだからこの店にしようかな状態」
になったわけです。そこまで言うなら試してやろうかな状態とも言いますか。
まぁ、そこのお店が本当に美味しいかどうかはわかりませんが、
その看板は
「ここにしようと選ばれる」という
新規のお客さんを獲得することに成功したわけです。
「箸でも切れる」とたった一言付け足すだけで。
相手に自分の意志(価値)を伝えようとする努力は、時に恥ずかしかったり面倒くさい事もあったりしますが、
やるよりやった方がお店と人生はきっと楽しくなります。
商品を並べただけの店なんて見てても楽しく無いもの。
電気ケトルで乳幼児のやけど相次ぐ
手軽にお湯を沸かせる「電気ケトル」を倒し、こぼれたお湯でやけどをする乳幼児が相次いでいることが分かり、消費者庁はお湯漏れ防止機能がついた製品かどうか明示するよう、各メーカーに求めることになりました。
電気ケトルは、コーヒーカップ1杯分のお湯であれば1分余りで沸かすことができる手軽さが特徴で、ここ数年、急速に普及しています。
これに伴って、子どもが倒してやけどをする事故が相次いでいることがNHKが行った情報公開請求で分かりました。
去年4月から1年余りの間に電気ケトルが原因でやけどをし、治療を受けた6歳未満の乳幼児は、消費者庁が報告を依頼している13の病院だけで、少なくとも9人いました。
このうち5人は1歳未満で、いずれも低いテーブルなどに置いてあった電気ケトルを倒してお湯をかぶっていて、広範囲にやけどをして入院が必要になったケースもありました。
これとは別に、日本小児科学会にも電気ケトルによるやけどの事故が3件報告されていて、生後8か月の女の子が、2か月入院し、その後、皮膚移植を繰り返しているケースもあるということです。
保温を目的とする電気ポットと異なり、電気ケトルにはお湯をこぼれにくくする安全基準がないことから、消費者庁は消費者が購入の目安にできるよう、お湯漏れ防止機能がついた製品かどうか明示するよう各メーカーに求めることになりました。
“子どもを不慮の事故から守るシステムを”
電気ケトルによるやけどの事故について、日本小児科学会で子どもの事故情報を担当する山中龍宏医師は、「子どもの身の回りに新しい製品が出回ると必ず新しい事故が起きる。明らかになったのは氷山の一角と考えられ、特に乳幼児の場合、やけどは死亡事故につながりかねないので、国は、企業の自主的な対策を期待するだけでなく、安全基準を決めるなど、子どもを不慮の事故から守るシステムを考えるべきだ」と指摘しています。
http://www3.nhk.or.jp/news/html/20121022/t10015909781000.html
その電気ケトルでやけどをした子供の画像がこちらです。
3番目は皮膚移植をされてしまった後のものでしょうが、1,2番目のやけどだったら夏井先生のHPで見慣れてる程度のやけどなので、ワセリンとラップで綺麗に治りそうなもんですね。
【深刻なやけど】…?皮膚移植必要かぁ?と素人は思うのです。
そしてこの事例でしょうが、直接の治療費は5,290,000円程度かかっているそうです。
ワセリンとラップと穴あき紙おむつだったら、傷跡を残さず安く痛みなく早く治るというのに。
「そんなつもりでは…」
「言い聞かせてはいるんですけどね…」
「やってはいるんだけど…」
この手の発言は全部、
相手に自分の意図することが伝わっていなかった事を取り繕うための「言い訳」です。
自分が意図する結果が相手に伝わっていない。また、その過程も伝わっていないということでしょう。過程が伝わっていたら少しは相手も理解しているでしょうから。
「あーこの人接客は苦手なんだけど頑張っているんだな」とか、そんな感じで理解はされるでしょう。
「言い聞かせてはいるんですけどね…」
「やってはいるんだけど…」
この手の発言は全部、
相手に自分の意図することが伝わっていなかった事を取り繕うための「言い訳」です。
自分が意図する結果が相手に伝わっていない。また、その過程も伝わっていないということでしょう。過程が伝わっていたら少しは相手も理解しているでしょうから。
「あーこの人接客は苦手なんだけど頑張っているんだな」とか、そんな感じで理解はされるでしょう。
生活保護の外国人 年金保険料を免除 厚労省、国籍差別批判受け
厚生労働省は二十日までに、生活保護を受給している在日外国人の国民年金保険料について、本人が申請すれば自動的に全額免除とする方針を決めた。近く地方自治体に周知する。多くの自治体と日本年金機構の出先機関は従来、日本人と同様に申請なしで一律全額免除となる「法定免除」としてきたが、機構本部が外国人を適用外とする見解をまとめたため「国籍による差別だ」との批判が出ていた。
機構本部の見解は八月十日付。国民年金法によると、法定免除となるのは生活保護法の対象者だが、外国人は日本国民に準じて生活保護を給付しているだけで生活保護法の対象ではないと指摘。法定免除ではなく、申請すれば前年の所得などに応じて免除の割合が決まる「申請免除」で対応する意向を明らかにした。
批判を受け、厚労省は機構本部と協議。見解は変更しないものの、外国人受給者は国民年金法上、全額免除となる「保険料を納付することが著しく困難である場合」に当たると判断したという。
生活保護に詳しい熊本市の外国人支援団体コムスタカの中島真一郎代表は「全額免除なら、保険料を払えずに無年金になることはないとはいえ、本質的な解決ではない。生活保護法の国籍条項を外して、外国人も準用ではなく、日本人と同じ扱いにするべきだ」と強調している。
政府は一九五四年の旧厚生省通知で外国人にも生活保護法を準用。永住者や日本人の配偶者らには、日本人と同じ条件で給付している
http://www.tokyo-np.co.jp/article/national/news/CK2012102002000222.html
お笑い芸人の一件から随分身近な単語として生活保護が会話の端々に登場するようになりました。
この単語にかんするニュース、もし今がバブル期かそれと近い景気の状態だったならそれほど注目を浴びることは無かったと思います。
新しいことをはじめることはストレスになります。生活のリズムが変わるでしょうし、慣れたやりかたを捨てることになりますから。
ある出来事があってから通常の生活に戻る時間を数値化してみたものがストレスマグニチュードと呼ばれ、下のような表になっています。
1 配偶者の死 100
2 離婚する 73
3 別居する 65
4 刑務所への収容 63
5 近親者の死 63
6 本人の病気 53
7 結婚する 50
8 解雇される 47
9 離婚調停中 45
10 退職、引退 45
11 家族の病気 44
12 妊娠する 40
13 性生活のトラブル 39
14 家族が増える 39
15 仕事上での不適応 39
16 経済的変化 38
17 親友の死 37
18 配置転換、転勤 36
19 夫婦喧嘩 35
20 膨大な借金 31
21 抵当流れ、ローンの返済不能 30
22 仕事上の責任の変化 29
23 子供との離別 29
24 親類とのトラブル 29
25 著しい成功 28
26 妻の退職 26
27 本人の入学、卒業 26
28 生活の変化 25
29 環境の変化 24
30 上司とのトラブル 23
31 労働時間や労働条件の変化 20
32 転居する 20
33 転校する 20
34 レクリエーションの変化 19
35 改宗 19
36 社会活動での変化 18
37 少額の借金 17
38 睡眠の習慣の変化 16
39 同居人数の変化 15
40 食事の習慣の変化 15
41 長期間の休暇 13
42 クリスマス 12
43 ちょっとした法律違反 11
ある出来事があってから通常の生活に戻る時間を数値化してみたものがストレスマグニチュードと呼ばれ、下のような表になっています。
1 配偶者の死 100
2 離婚する 73
3 別居する 65
4 刑務所への収容 63
5 近親者の死 63
6 本人の病気 53
7 結婚する 50
8 解雇される 47
9 離婚調停中 45
10 退職、引退 45
11 家族の病気 44
12 妊娠する 40
13 性生活のトラブル 39
14 家族が増える 39
15 仕事上での不適応 39
16 経済的変化 38
17 親友の死 37
18 配置転換、転勤 36
19 夫婦喧嘩 35
20 膨大な借金 31
21 抵当流れ、ローンの返済不能 30
22 仕事上の責任の変化 29
23 子供との離別 29
24 親類とのトラブル 29
25 著しい成功 28
26 妻の退職 26
27 本人の入学、卒業 26
28 生活の変化 25
29 環境の変化 24
30 上司とのトラブル 23
31 労働時間や労働条件の変化 20
32 転居する 20
33 転校する 20
34 レクリエーションの変化 19
35 改宗 19
36 社会活動での変化 18
37 少額の借金 17
38 睡眠の習慣の変化 16
39 同居人数の変化 15
40 食事の習慣の変化 15
41 長期間の休暇 13
42 クリスマス 12
43 ちょっとした法律違反 11
日本IBM指名解雇の一部始終 30分で退社迫るロックアウト型
■7月20日(金)午後5時に直属の上司に呼び出される。上司とは直前まで翌週の仕事の打ち合わせをしていたので、その続きを別室で行うのだと思い席を立つ。
■会議室に行くと、なぜか上司が部屋をノックする。中に誰かいるのだと気付き、入室すると部門長と人事担当者が書類を開いて座っている。上司は「連れてきました」とだけ言い残し、そそくさと会議室を後にする。
■部門長にうながされるまま着席すると、書類を入れた封筒を渡され、「中身を見てください」と言われる。
■封を開けると、「解雇予告通知」および「解雇理由証明書」が入っている。呆然として内容を確認する(以下、要旨)。
<会社は、貴殿を2012年7月26日付で解雇します。貴殿は業績が低い状態が続いており、その間、会社は職掌や担当範囲の変更を試みたにもかかわらず業績の改善はなされず、会社は、もはやこの状態を放っておくことができないと判断しました>
■キツネに抓まれた思いで「なぜ解雇なのか?」を問うと、人事担当者は「まぁ、聞いてください」と文面を事務的に読み上げ、具体的な解雇理由の説明もないまま一方的に終了。
■会議室を出される際、「上司が付き添うので、(終業時刻の)5時36分までに会社を出てください」と通告され、呆然としたまま退社。
■翌週、改めて事情を聞こうと出勤すると、入館証が使えず社内に入れない。受付で上司を呼び出そうとしても、「上司、その他におつなぎできないことになっています」と回答される。
わずか30分足らずの間に解雇通告を見せられ、会社から締め出されてしまう、いわばロックアウト型の“即日指名解雇”である。Aさんは「25年以上もの毎日、熱意を持って働き続け、家族設計も行っていた私には、とても受け入れられません」とコメントする。(後略
http://zasshi.news.yahoo.co.jp/article?a=20121017-00000017-pseven-soci
怖すぎる。
日本企業にダブルパンチ 尖閣国有化反発の中国人、日系製品買い控え
中国の景気減速が鮮明になった。中国を最大の輸出先とする日本の企業は、日本政府による沖縄県・尖閣諸島国有化に反発した中国人の日系製品買い控えもあり、ダブルパンチを受けている。
中国事業に注力してきたコンビニエンスストア大手には「中国経済が減速している」として出店ペースを遅らせる企業があるなど、企業活動にも具体的な影響が出てきた。
大手自動車メーカーは、尖閣問題に絡んだ不買運動などにより中国で大幅な減産に踏み切っている。財界関係者は「日系大手の現地での減産による影響で、部品メーカーなど中小企業の対中輸出が止まったケースもある」と指摘する。■■■■■■
大手商社幹部は「中国国内の鉄鋼需要減少が、鉄鉱石などの価格にも影響を与えている」と話した。世界経済で重みを増す中国経済の動向は多くの日本企業の業績も左右しそうだ。
http://sankei.jp.msn.com/economy/news/121018/fnc12101812530009-n1.htm
09年における日本の対中(香港含む)輸出入とGDP(単位:百万ドル)
http://members3.jcom.home.ne.jp/takaaki.mitsuhashi/data_32.html#Chinaizon
また三橋さんの作ったグラフの引用です。
確かに「日本企業にダブルパンチ」なのは合っているのですが、正確には中国に投資しているか中国と取引をしている企業であって、日本全体が大変というイメージを抱く必要はないですね。
それは上にのせたグラフを見ても分かります。
健康的なダイエットは?
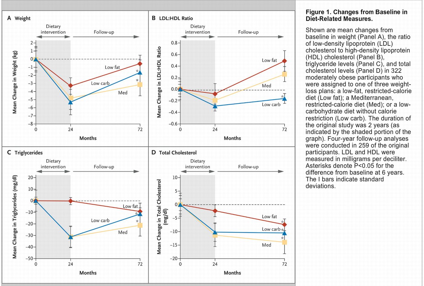
イスラエルで2年間の介入試験後、4年間追跡調査した結果が報告された。いわゆる地中海式ダイエットや低炭水化物ダイエットは、多少リバウンドしても血中脂質などの状態が良好に保たれるというものだ。
同研究は職域における24ヶ月間の無作為介入試験である。対象者322人は無作為に3群に振り分けられ、地中海式ダイエット/低炭水化物ダイエット/カロリー制限を受ける低脂肪ダイエット、いずれかのダイエット法を、職場のカフェテリアで色分けされた食事の提供を受けて実践した。
2年間継続できた者は、全体の85%であった。
介入終了時点で減量効果は、低脂肪ダイエットで-2.7kg、地中海式ダイエットで-4.4kg、低炭水化物ダイエットで-4.9kgとなった。また、何れの群でも減量効果に加え、頚動脈血管壁の肥厚度が軽減され、動脈硬化の進行を予防する効果がみられた。
その後さらに4年間の追跡調査を受けたのは259人で全体の80.2%、2年間の試験満了者の95.2%にあたった。
4年間でのリバウンドは、低脂肪ダイエットで2.7kg、地中海式ダイエットで1.4kg、低炭水化物ダイエットで4.1kgとなった。先の結果と相殺すると、それぞれの減量効果は低脂肪0.6kg、地中海式3.1kg、低炭水化物1.7kgとなり、地中海式ダイエットと低炭水化物に有意に減量効果が認められる結果となった。
6年後に血中脂質レベルを調査したところ、LDLコレステロール/HDLコレステロール比は低炭水化物ダイエットで有意に低下していた。中性脂肪の値は地中海式と低炭水化物で特に改善し、総コレステロールの値は3群いずれにおいても改善していた。
研究者は減量効果だけでなく、血中脂質状態を改善し長く効果が認められるのは地中海式ダイエットと低炭水化物ダイエットのようだ、と結論づけている。
http://www.nutritio.net/linkdediet/news/FMPro?-db=NEWS.fp5&-Format=detail_news.htm&kibanID=37235&-lay=lay&-Find
なんとなくは感じていましたが、糖質を取り始めるととたんに体重が変動するんですよね。身体が本能的に蓄えようとしてしまうからなんでしょうか。
たゆたう小舟に乗る読者が、どの航路を進むべきかを示す「水先案内人」でありたいと考えます。若い世代を中心に新聞離れが進んでいます。ネットでニュースを入手することは可能ですが、ばらばらの記事を集めるだけでは、求めている情報にたどり着くのは困難です。
ある新聞社のコラムにこうありました。「水先案内人」でありたいと。
この発言は、最近コントロールがしにくくなった大衆に対しての苦々しさの現れではないのかな、と思います。
ネットで見るニュースだと、興味のある記事しか読まずに知識が偏りがちとは言いますが、紙面の記事であってもそれは同じでは?毎朝興味のない記事まで全部読むという人はどれだけ居ることでしょう。特に芸能欄なんか読む意味がわかりません。
大体、全員同じ記事を読んで同じ知識量になったら、他人と会話をする楽しみがなくなるじゃ無いの。
カレンダー
| 12 | 2026/01 | 02 |
| S | M | T | W | T | F | S |
|---|---|---|---|---|---|---|
| 1 | 2 | 3 | ||||
| 4 | 5 | 6 | 7 | 8 | 9 | 10 |
| 11 | 12 | 13 | 14 | 15 | 16 | 17 |
| 18 | 19 | 20 | 21 | 22 | 23 | 24 |
| 25 | 26 | 27 | 28 | 29 | 30 | 31 |
ちょっと前の記事です↓
(09/20)
(05/27)
(07/24)
(07/16)
(07/15)
(07/14)
(07/13)
(07/12)
(07/11)
(07/10)
カテゴリー
プロフィール
HN:
アリウス
HP:
性別:
男性
職業:
ドラッグストア各店放浪中
趣味:
釣り・歌うこと・本読むこと。
自己紹介:
アリウスの体は、
お酒、から揚げ、
ラグナロクオンライン、
歌うこと、ゲーム音楽
油っこいものと、
カレー、
フライフィッシング
で、構成されています。
お酒、から揚げ、
ラグナロクオンライン、
歌うこと、ゲーム音楽
油っこいものと、
カレー、
フライフィッシング
で、構成されています。
リンク
アーカイブ
最新コメント